Very Impressive Dermarolling And Minxodil Results - From Tressless

tzt

Experienced Member
My Regimen
Reaction score
912
Here's another one before I slumber off to bed. It's taken at an angle that I did not include in my original post back 20+ pages ago. Mostly because my hair looked dreadful. It was shocking to see when I took it back in May.

But it really does show a marked improvement that nobody can deny.

WOUND HARD. no pain no ga.... blah blah blah.
The good question : did you try finasteride + minoxidil before starting dermarooling ?
If yes, how was the result ?
 

Liquidbanana

Member
My Regimen
Reaction score
152
The good question : did you try finasteride + minoxidil before starting dermarooling ?
If yes, how was the result ?

Been on finasteride for 7 years now. Stopped hairloss, very minimal growth during first two years. Slowly began to lose during last year or so.

Minoxidil... a non responder. No shed. No regrowth. Nothing. Tried it for periods of over a year several times over the last decade. Nothing.

I am using minoxidil with dermarolling tho. I do believe together they have a synergistic effect. But I would say most of this regrowth I'm experiencing is due to wounding. My scalp right now, is healthy and vibrant. Before it was an inflamed itchy mess. As you can see in my 'before' pictures in previous posts. It just looked pink and
.. unhealthy to be honest.

In response to other questions:

Yes I use minoxidil. 5% foam. Twice a day. Even as a non responder, I use it. Its dirt cheap, and easy to apply. Even if it does absolutely nothing, at least it feels like I'm doing something on a day to day basis about my hair, instead of doing nothing. So maybe I've got a decent placebo effect going, I dunno. Perhaps I should have starting dermarolling without minoxidil... but it's too late for that now. I'm not about to threaten the gains I've made now.

To the other question: I did 12 dermaroller sessions over 12 weeks. I wounded HARD as a mother****er! Bloody mess every time. Right now, I'm in my 3 week period of no serious wounding. Just allowing my scalp to heal up from the serious wounding I did over 3 months. During this 3 week period, I do use a 0.5mm dermaroller right before applying minoxidil every other day.
 

Me Vs DiffuseThinning

Experienced Member
My Regimen
Reaction score
706
I avoided it by taking Dutasteride and Finesteride at the same time and I intend to take this until December when I will switch to dutasteride and finasteride on an alternating basis to offset Dutasteride's high costs.

Nothing happened to my crown on min + finasteride + rolling but hairline started regrowing. I've been on dutasteride for 60 or so day and the crown is starting to look more denser as if it's closing in on the bald spot(diffuse thinning type bald spot with hair still there but see through). It's really a magical drug if you don't get side effects.

You got any sides?

My libido dropped rapidly for the first 10-15 days but then it went up to teenage levels. My libido is still high, but I don't know if that is a good thing or a bad thing long term. It's not tapering off to normal levels. Apart from that no other side effects.
I am taking both: finasteride everyday, dutasteride every other day. I'm shedding thin unpigmented hairs. Also, I could just be paranoid here, but I swear I might be shedding a bit from the back as well. As for my libido, it's skyrocketed since dutasteride.
 

Liquidbanana

Member
My Regimen
Reaction score
152
@Liquidbanana

I agree that you have to roll hard. Hard enough to draw blood. But you then ought to wait a few weeks (I wait 3 weeks) in between rolling sessions.

I certainly can't argue with you. I only have my own experience and results to draw conclusions from. A thorough clinical trial needs to be done on a variety of hair loss sufferers with different wounding protocols. Wounding definitely does something. But what type of wounding protocol is best??? Whether it's weekly hard wounding, daily or EOD light wounding or hard bi/tri-weekly wounding.... who knows really.

It would be awesome to get a true near professional style community trial going on here. But that would be like herding a thousand cats through different obstacles into the same eventual pen. Nearly impossible.
 

badhabiz

Experienced Member
My Regimen
Reaction score
220
With your noticeable improvement do you still notice shedding has remained constant or less hair falling now? @74775446 @badhabiz @arromanus @Liquidbanana @Jamesdunn
In my case remaining constant.
Buy always had so...hair still there.
With mid long hair is difficult to say but i see improvement in other parts other than crown, which is more evident.
Minoxidil never did a thing until dermarolling (of course i dont know if its absorption or growth factors ) for my crown
PS. Seen your pics we have very similar hair
 

Jamesdunn

Established Member
My Regimen
Reaction score
897
Swirl still improving by the week
 

Attachments

  • Collage 2019-08-12 14_19_54.jpg
    Collage 2019-08-12 14_19_54.jpg
    193.9 KB · Views: 951

newbiemicroneedler

Established Member
My Regimen
Reaction score
48
I am taking both: finasteride everyday, dutasteride every other day. I'm shedding thin unpigmented hairs. Also, I could just be paranoid here, but I swear I might be shedding a bit from the back as well. As for my libido, it's skyrocketed since dutasteride.
I avoided it by taking Dutasteride and Finesteride at the same time and I intend to take this until December when I will switch to dutasteride and finasteride on an alternating basis to offset Dutasteride's high costs.

Nothing happened to my crown on min + finasteride + rolling but hairline started regrowing. I've been on dutasteride for 60 or so day and the crown is starting to look more denser as if it's closing in on the bald spot(diffuse thinning type bald spot with hair still there but see through). It's really a magical drug if you don't get side effects.

You got any sides?

My libido dropped rapidly for the first 10-15 days but then it went up to teenage levels. My libido is still high, but I don't know if that is a good thing or a bad thing long term. It's not tapering off to normal levels. Apart from that no other side effects.

Are you guys saying finasteride /dutasteride increased your libido??? How is that possible when the opposite is considered one of the side effects of such drugs?? You mean libido as in horny or as in good erections?
 

badhabiz

Experienced Member
My Regimen
Reaction score
220
Are you guys saying finasteride /dutasteride increased your libido??? How is that possible when the opposite is considered one of the side effects of such drugs?? You mean libido as in horny or as in good erections?
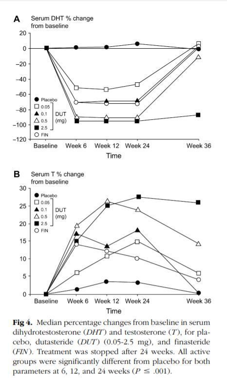
if I may, in the first period is perfectly possibile, since the dht inhibition pushes T (studies say 15%) high, problem is that sexual hormones are in delicate balance, and the T in excess is converted in estrogen, which is a problem for some people...
some people experience it in a few days, some in a few months, some in years, some never...it depends of your aromatase enzyme and your genetical predisposition to aromatize androgens to estrogens.

https://www.ncbi.nlm.nih.gov/pmc/articles/PMC3143915/
 

74775446

Established Member
My Regimen
Reaction score
340
With your noticeable improvement do you still notice shedding has remained constant or less hair falling now? @74775446 @badhabiz @arromanus @Liquidbanana @Jamesdunn

I stopped dermarolling and using minoxidil for a couple of months because I was too unwell to think about things like that and I noticed more hairs in the bath after I started again. It wasn't noticeable in the mirror or in photos and the shed seems to have stopped.
 

newbiemicroneedler

Established Member
My Regimen
Reaction score
48
Ok so first ur testosterone goes up 15% then gradually goes back down n ur libido suffers? But the guys here are saying the opposite, at first their libido went down then it skyrocketed back to their teen years! In which case I see men rushing to take such a drug instead of avoiding it. I mean I always thought I already have so many problems to want to add low libido on top of it, but this would change everything. You get your hair back n the cherry on the cake is high libido, win win :)
 

Seuxin

Experienced Member
Reaction score
356
I agree, when i began finasteride, i had a libido increase...same with dutasteride.... ;) Btw, i have 0 sides on dutasteride ! dutasteride is GOD ! Go dutasteride !
 

badhabiz

Experienced Member
My Regimen
Reaction score
220
Ok so first ur testosterone goes up 15% then gradually goes back down n ur libido suffers? But the guys here are saying the opposite, at first their libido went down then it skyrocketed back to their teen years! In which case I see men rushing to take such a drug instead of avoiding it. I mean I always thought I already have so many problems to want to add low libido on top of it, but this would change everything. You get your hair back n the cherry on the cake is high libido, win win :)
it doesnt gradually go back down, it will be converted, for an amount that depends of your genetical predisposition to aromatize androgens to estrogens, in estrogens.
and even if is perfectly plausible that they experienced that, i wouldnt recommend you to take finasteride in order to improve your libido...sorry
 

Me Vs DiffuseThinning

Experienced Member
My Regimen
Reaction score
706
Type of hairs I’m shedding since adding dutasteride. Most are too unpigmented to show up on camera.
 

Attachments

  • 887D2B32-2B20-4C95-9F38-B49868BBCE28.jpeg
    887D2B32-2B20-4C95-9F38-B49868BBCE28.jpeg
    50.3 KB · Views: 617
  • 7144EE5F-5021-4774-A033-2897D37CF03A.jpeg
    7144EE5F-5021-4774-A033-2897D37CF03A.jpeg
    43 KB · Views: 591

Moosey

Experienced Member
My Regimen
Reaction score
414
Man you guys are talking some non-sense.
Everyone reacts differently to dutasteride or finasteride. Just because your libido went up, doesnt mean testosterone is more important for libido. Thats just bro-science.
Dutasteride tanked my libido even on steroids when my testosterone was 5x as high as yours.
Im natural since some time now and my last boner was 3 weeks ago and lasted 5 minutes because of duta, and i only take it every 2 days.

Your anecdotal experiences are not facts
 

Analogies

Established Member
My Regimen
Reaction score
69
Many studies show that an increase in testosterone doesn't equate to an increase in libido. It's a fine balance of both estrogen and testosterone that makeup your libido and consequently your hair retention, strength etc. It's why there are so many variations of success in this community; some people respond better than others to different drugs because each person has their unique difference or "Imbalance" over the other.

Just because minoxidil regrew your friends hair, or caused your cousin puffy nipples and a limp dick, doesn't mean it will have the same effect on you. This is why it's important to stay open to the possibilities. I have yet to hear of anyone dying from trying anything on these forums (I could be wrong).
https://www.ncbi.nlm.nih.gov/pmc/articles/PMC4854098/
 
Top