MSM supplement showing signs of new growth

OtyMac

Established Member
My Regimen
Reaction score
153
Of course it's all just talk until at least one more person here gets results. I ordered a few bottles but they haven't arrived yet, so I started on glucosamine +MSM (1.5g of each in the pills) that they sold in the local store. Both drugs are supposed to help for joint mobility and I'm starting on 4 pills morning 4 pills evening

Myself I've been on Finasteride for 3 years and oral minoxidil for 7 months, the usual slow steady diffuse no significant improvement

Look at the dutasteride injections done every 3 months....just make a topical like what I mentioned and use the dermaroller like fueclinic recommends.

 

Kidbako

Established Member
My Regimen
Reaction score
189
Of course it's all just talk until at least one more person here gets results. I ordered a few bottles but they haven't arrived yet, so I started on glucosamine +MSM (1.5g of each in the pills) that they sold in the local store. Both drugs are supposed to help for joint mobility and I'm starting on 4 pills morning 4 pills evening

Myself I've been on Finasteride for 3 years and oral minoxidil for 7 months, the usual slow steady diffuse no significant improvement
I’m still having great results. No shedding no itch no headaches or any sides at all. Still on same regimen but cut nizoral out completely. Was using for itch and scaling and no longer have it and don’t wanna mess up the natural scalp oils and such any more than what rogain probably already does. I’m actually contemplating cutting rogain, don’t think any of the recent improvements are from it.
 

OtyMac

Established Member
My Regimen
Reaction score
153
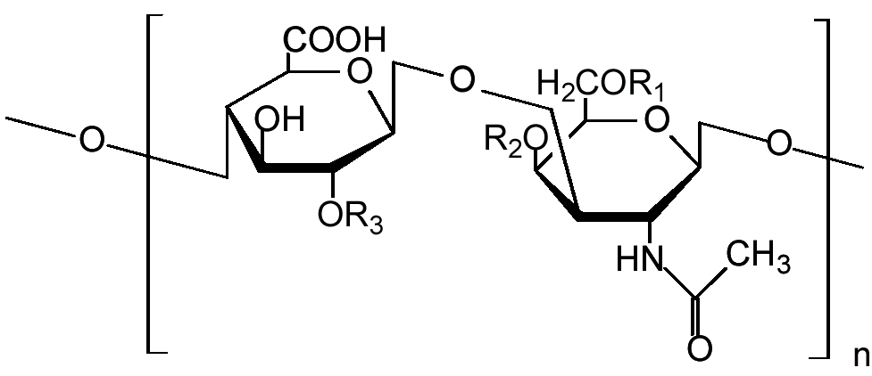
A huge part of the problem is that Dr. Morrison used CS-A which is just one part of the constituents of the powders we buy. Are you using shark or bovine origin CS? Is it possible to buy just CS-A? I assumed CS-A originally meant from animal origin but there is a CS-A unit and maybe Dr. Morrison had a purified form of the CS like we are getting? I'll look more into the CS-A "dilemma".

Look at the references where Dr. Morrison used CS-A and C so this A does not mean from animal origin.

________________________________

Chondroitin sulfate is sourced from natural products, with high variability in terms of chain length and sulfation pattern. The variability in chondroitin sulfate composition extends to its origin, making it possible to differentiate between chondroitin sulfate from terrestrial and marine sources. One way to look at this difference is in terms of the proportion of disaccharide units: chondroitin sulfate from terrestrial animals is almost exclusively composed of non-sulfated (O) and monosulfated (A and C) units, while in marine species the proportion of disulfated (D, E and B) units is higher. Furthermore, marine chondroitin sulfate chains tend to be longer, with molecular weight of up to 70 kDa in chondroitin sulfate from shark, while in terrestrial animals molecular weight is typically below 45 kDa.[17][18]

_____________________________________

Possibly if CS-A is not obtainable then just find out what percent of CS-A is actually contained in off the shelf CS powder and adjust the dose to what Dr. Morrison used.

Has anybody just tried topical CS? I see creams with glucosamine but that is not what I'm looking for. Perhaps just make a topical cream and ram it thru with a .25 mm dermaroller.
 
Last edited:
  • Like
Reactions: 300

OtyMac

Established Member
My Regimen
Reaction score
153
Here is another problem with CS to contend with. This will direct link to a pdf about CS claimed percentages in powders.
If you don't want to read it all then I will post a snippet of it.



A US study by Adebowale et al. [23] has compared the amount of chondroitin sulfate in 11 different
formulations against a chondroitin sulfate considered to be a chemical reference substance by the
European Pharmacopeia [17].

The latter is of bovine trachea origin and manufactured by Bioibérica
(Barcelona, Spain). High performance liquid chromatography (HPLC) data showed that the amount of
chondroitin sulfate varied from approximately 10% to 110% of that claimed on the label [23]. Moreover,
using a titration method, the amount of chondroitin sulfate in 32 products purchased from pharmacies
and health food stores varied from 0% to 105% of the label claim (26/32 contained <90% label claim
and 17/32 contained <40% label claim) [2



Not surprisingly, the bovine sample had similar proportions of chondroitin-4-sulfate (61%)
and chondroitin-6-sulfate (33%)

We know 61% of the bovine trachea powder is 61% CS-A but we don't know how much CS we are getting as shown above as claimed on the label. The 6-sulfate is CS-C.

In other words, if the bovine trachea CS is legit then we could replicate Dr. Morrison's experiments to a tee. If he used only CS-A then take his dosages which grew hair and divide by .61. Which would be either 10 grams/.61 or 16 grams per day or 6 grams/.61 ~ 10 grams.

If he used the A and C powder like off the shelf then just take the dosages his patients used which is 10 or 6 grams PROVIDING the powder is LEGIT.
 
Last edited:
  • Like
Reactions: 300

Kidbako

Established Member
My Regimen
Reaction score
189
i'll probably maintain the msm intake for 3-6 months and see what happens. Do you still dermaroll? I do 2 light passes weekly.

and yes, I'm well acquainted with the scalp itch and the complete silencing of it by E. (E3 in my case, but i don't rock gyno :) )
I’m not that consistent with my dermarolling but try for a lite passing once a week.
 

Kidbako

Established Member
My Regimen
Reaction score
189
I was taking MSM 1000mg/day, didn't see any benefits. But the dosage probably makes a difference, I will try increasing it to 10000mg and see what happens.
Maybe some will show benefits with 10kmg and others need even more to reverse and repair.
 

Moz5x

Established Member
My Regimen
Reaction score
193
Long time lurker here and hair loss sufferer. I’ve been on minoxidil and finasteride since 2016. Both worked ok. Nothing spectacular. Also had a 1300 strip transplant at bosely like 20 years ago.any way was reading up on msm and decided wtf. Started heavy with it. 10 1000mg pills a day. Split 5 in morning and 5 later afternoon. Anyway about 3 weeks in I could rub my head and felt really stiff whisker feel. Like under my shitty hair.
How old were you when you had the Bosley transplant? Was that your only one? Do you think your hairloss has stabilized at this point/reached its final pattern? Seems like you’ve successfully held on to many of the transplanted hairs.
 

Kidbako

Established Member
My Regimen
Reaction score
189
How old were you when you had the Bosley transplant? Was that your only one? Do you think your hairloss has stabilized at this point/reached its final pattern? Seems like you’ve successfully held on to many of the transplanted hairs.
I was about 32 When I got it. Was notified at time of procedure that more work would be needed as time progresses,and 53 now, but no other work done. Yes transplanted hairs have held up quite well but receding native hair had gradually over the years receded further along with diffuse thinning as well.
 

Capone

Senior Member
My Regimen
Reaction score
917
anything that reverses wrinkles will also work some for hairloss because presumably wrinkles are because of damaged mitochondria.
Not in my case, my 5ar, DHT, skin etc are all connected. If my skin looks good, less wrinkles, my hair sheds, if my hair is thicker from an AA, my skin is crepy with deeper lines. minoxidil makes me look awful. Transplants are my only option with maybe topical lipo dutasteride
 

300

Established Member
My Regimen
Reaction score
418
I was about 32 When I got it. Was notified at time of procedure that more work would be needed as time progresses,and 53 now, but no other work done. Yes transplanted hairs have held up quite well but receding native hair had gradually over the years receded further along with diffuse thinning as well.
Are you still doing good on msm?
 

Get my hair back

Established Member
My Regimen
Reaction score
60
Yeah how's it going Bako, I've only been on a 12g a day regimen (6g morning and evening) for little over a week have to say I am seeing light hairs in known gaps, like you know at the front of the hairline I was keeping track of an area that didn't have a lot of hairs when I started. Light hairs have grown there, I'll definitely update if they get darker and go terminal. At the moment I think it's still too early but if they do become actual hairs that would be pretty cool. I'm having insomnia unfortunately like only sleeping 4-5 hours a day so I need to remedy that

All this said, there is an actual study of older women taking 3g MSM daily and seeing increased quality of hair like shine and volume, just not density. So it might be worth taking as a diffuse anyway
New hairs on the front line in just one week is good news. My sulfur will arrive soon and I will start immediately with 15g/day
 

Kidbako

Established Member
My Regimen
Reaction score
189
Yeah how's it going Bako, I've only been on a 12g a day regimen (6g morning and evening) for little over a week have to say I am seeing light hairs in known gaps, like you know at the front of the hairline I was keeping track of an area that didn't have a lot of hairs when I started. Light hairs have grown there, I'll definitely update if they get darker and go terminal. At the moment I think it's still too early but if they do become actual hairs that would be pretty cool. I'm having insomnia unfortunately like only sleeping 4-5 hours a day so I need to remedy that

All this said, there is an actual study of older women taking 3g MSM daily and seeing increased quality of hair like shine and volume, just not density. So it might be worth taking as a diffuse anyway
Hey still getting major improvements! Hair is totally getting thicker and darker. Quality of hair is +100% better. Still get that “whisker” feel on scalp. Just this morningseeing a lot of very fine white fuzz, I would call it, in temple area. If that eventually turns dark is a game changer.
 

Get my hair back

Established Member
My Regimen
Reaction score
60
That sounds really good.
My sulfur is here. I'm going to start taking 15g/day, and I'm going to take it in three doses.
 

Isneezedsohard

Experienced Member
My Regimen
Reaction score
320
Hope your circadian rhythm is strong I take 6 at 5 PM and still have trouble sleeping. So far it's worth it though seeing a lot of little hairs but I don't want to comment until the ones I'm tracking actually go terminal like indistinguishable from my usual hairs
Sleep is still good so far!
 

OtyMac

Established Member
My Regimen
Reaction score
153
Hope your circadian rhythm is strong I take 6 at 5 PM and still have trouble sleeping. So far it's worth it though seeing a lot of little hairs but I don't want to comment until the ones I'm tracking actually go terminal like indistinguishable from my usual hairs

You could also do a topical if the lack of sleep is persistent. I've seen studies saying MSM isn't absorbed topically and others that say it is? 0.25 dermaroller would solve that easy dilemma easy enough. I would guess a cream after the dermapen would be the best way...
 
Top