Exploring The Hormonal Route. Hair=life.

Yar

Senior Member
My Regimen
Reaction score
678
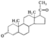
No. View attachment 122783 Progesterone does not play any role. from him you only grow 5 breast size. in the male body progesterone turns into testosterone. See the diagram in the picture.
This is natural AA !!! CPA, didrogesterone, dienogest and another group are all progestins, that is, compounds of progesterone. But progesterone is more natural AA.
 

Yar

Senior Member
My Regimen
Reaction score
678
Wasn't there a whole thing with people taking progesterone and getting cancer from it. i'm pretty sure you should avoid taking progesterone without medical supervision?
Progesterone is natural AA! Everything you take CPA or dienogest or didrogesterone or it will be a different progestin compound. But this is all a group of progestin compounds or progesterone. You take CPA without knowing that it is a compound of progesterone (progestin). Without progesterone compounds, take estradiol is harmful
 

Yar

Senior Member
My Regimen
Reaction score
678
No. View attachment 122783 Progesterone does not play any role. from him you only grow 5 breast size. in the male body progesterone turns into testosterone. See the diagram in the picture.
To date, the following progesterone preparations are used in the territory of the Russian Federation and abroad:
• Progesterone, oil solution for injections;
• Micronized progesterone (Utrozhestan, Prometrium, etc.) (intravaginal administration);
• Didrogesterone (Duphaston®) (oral administration);
Synthetic derivatives of progesterone (cyproterone acetate, medroxyprogesterone acetate, oxyprogesterone capronate) (oral administration).
 

Yar

Senior Member
My Regimen
Reaction score
678
Wasn't there a whole thing with people taking progesterone and getting cancer from it. i'm pretty sure you should avoid taking progesterone without medical supervision?
To date, the following progesterone preparations are used in the territory of the Russian Federation and abroad:
• Progesterone, oil solution for injections;
• Micronized progesterone (Utrozhestan, Prometrium, etc.) (intravaginal administration);
• Didrogesterone (Duphaston®) (oral administration);
Synthetic derivatives of progesterone (cyproterone acetate, medroxyprogesterone acetate, oxyprogesterone capronate) (oral administration).
 

Yar

Senior Member
My Regimen
Reaction score
678
Progestins are different. Many combinations use testosterone derivatives. The first and second generation (norethisterone, levonorgestrel, ethynodiol) are not deprived of androgenic activity and their negative metabolic effects (decreased HDL cholesterol) are shown. The third generation (norgestimate, desogestrel, gestodene) has a lower affinity for the androgen receptor and their metabolic profile is better, although the efficacy in hyperandrogeny is similar. Antiandrogenic progestins are also distinguished: testosterone derivative - dienogest, spironolactone analogue - drospirenone and cyproterone acetate.
However, there is evidence that modern drugs, the third generation of testosterone derivatives and antiandrogenic progestins, are associated with a greater risk of venous thrombosis compared with levonorgesterol.
 

bridgeburn

Senior Member
My Regimen
Reaction score
3,627
Hello Everyone,

as y'all might've noticed.. I have trouble keeping up with this thread and my messages and school and life..

I know there were several questions asked to me sprinkled throughout the jillion replies.. but Im too lazy

Feel free to ask again. If I ever don't answer, ask again or Pm me. Pms get some priority. and I might get back to you, no guarantee though :p

Right now, Im not taking androgen blockers. I ran out and didn't order more.. well except for Diane 35 twice a week, but thats only 4mg cypro a week. I ran out of dexamethasone too, its difficult to keep up with ordering stuff all the time.

now my current regimen is: .5mg dutasteride, 6mg estrofem, 1.5mg oestrogel. 10mg Oral min every other day, topical min/finasteride on the other every other days.. 1 Diane pill on monday and friday, 100mg oral progesterone first 10 days a month.

honestly, I don't feel any different without AA's so I think my nuts are fried enough that they won't come back as long as I take E everyday and I know that AAs are not healthy and that's starting to bother me. I've been taking HRT for 2 years now with fairly aggressive doses. But I never intended to take them forever. as @Sonolmn98 said before that it is healthier to cut off testicles than take anti androgens forever. Particularly, cypro shouldn't be taken long term, I wouldn't risk taking it more than 2 years. Its rare but taking even a low dose of cypro for usually about 10 years or so will significantly increase risk prolactin producing brain tumors.

I really went hard with my obsession and took alot of drugs at the same time, and it caused me to become paranoid hahaha.. when I was bald I didn't mind taking risk as much but now that i have hair I value life alot more..

I was literally taking cypro and spironolactone at the same time along with dutasteride, high amounts E, and oral plus topical minoxidil along with occasiinal diane and also Dexamethasone and progesterone too... Geez, and Im not even getting checked by doctor.. Anyway, becaise of this whenever I felt slightly bad or tired I would wonder if it was from the drugs and then have panic attacks.. but I know now that it was mostly my own mind and fear.

For know I'm going to take a break from AAs until September. caise Im going to visit my home country america during August and I dont feel like going through security carrying a bunch of pills, so I usually just bring estradiol and minoxidil while on vacation.. and Im never going to take such a heavy combo again.

With that said, I was always afraid of bica because it increases testosterone, and even though it does a fantastic job at blocking receptors there will some amount of competition. There might be occasions, which are so rare that its undetectable like maybe every once in a million times, Dht or T could win a receptor. So i can't let that happen.... Also the idea of some body odor returning as well as male libido from the testosterone metabolites (which act not from androgen receptors) ,turned me off from it. but I know one thing for sure, that cypro and spironolactone are very weak partial agonists of the AR.. they are much weaker than testosterone and therefore function as anti-androgebs.. but perhaps if they are taken for several years their initial benefit could wear off if receptors become more sensitive to androgens from prolonged lack of androgen exposure.. such as what sometines happen to prostate cancer victoms. Therefore, I believe its time for me to move away from weak partial agonists..

But still Id rather block receptors, because even eunuchs still produce small amount of hormones from the adrenal glands... and I know that DHEA can use 5ar to convert to DhT inside the cell. Therefore, it is possible to have high dht in scalp despite extremely low DHT in blood.

Honestly, Im thinking strategically. I beleieved before that cypro is best because it also has strong antigonadotrophin effect along with high affinity for receptor blocking and it builds up in fat. and because Antydhtor used it with amazing results. and I still think that maybe cypro is best when used alone. because I do not trust bica to Completly block literally 100% of the time 100% of receptors, there is no way to absolutely prove that. better safe than sorry.

However Bica's bad point is its gonodotrophin effect and its relatively weak affinty for receptor binding.. however, its supposed to make up for its weak affinty by its really long half life and building up to very high levels. And also its gonadotrophin effect can be counteracted by taking estradiol with it.. And considering all these pros and cons and angles;
I believe now that the regimen which gives the least amount of androgenic signalling will contain Bica with dutasteride and high estradiol (topical and buccal combo)..

Also, Bica's biggest advantage is that it is healthier than cypro and spironolactone. spironolactone is hard on kidneys, makes you lose sodium and retain pottasium and increases cortisol.. and Cypro is heptatotoxic to the liver and highly increases prolactin.

And while Bica isn't good for the liver either; it is much less harsh than cypro.
 
Last edited:

Ikarus

Banned
My Regimen
Reaction score
2,943
Hello Everyone,

as y'all might've noticed.. I have trouble keeping up with this thread and my messages and school and life..

I know there were several questions asked to me sprinkled throughout the jillion replies.. but Im too lazy

Feel free to ask again. If I ever don't answer, ask again or Pm me. Pms get some priority. and I might get back to you, no guarantee though :p

Right now, Im not taking androgen blockers. I ran out and didn't order more.. well except for Diane 35 twice a week, but thats only 4mg cypro a week. I ran out of dexamethasone too, its difficult to keep up with ordering stuff all the time.

now my current regimen is: .5mg dutasteride, 6mg estrofem, 1.5mg oestrogel. 10mg Oral min every other day, topical min/finasteride on the other every other days.. 1 Diane pill on monday and friday, 100mg oral progesterone first 10 days a month.

honestly, I don't feel any different without AA's so I think my nuts are fried enough that they won't come back as long as I take E everyday and I know that AAs are not healthy and that's starting to bother me. I've been taking HRT for 2 years now with fairly aggressive doses. But I never intended to take them forever. as @Sonolmn98 said before that it is healthier to cut off testicles than take anti androgens forever. Particularly, cypro shouldn't be taken long term, I wouldn't risk taking it more than 2 years. Its rare but taking even a low dose of cypro for usually about 10 years or so will significantly increase risk prolactin producing brain tumors.

I really went hard with my obsession and took alot of drugs at the same time, and it caused me to become paranoid hahaha.. when I was bald I didn't mind taking risk as much but now that i have hair I value life alot more..

I was literally taking cypro and spironolactone at the same time along with dutasteride, high amounts E, and oral plus topical minoxidil along with occasiinal diane and also Dexamethasone and progesterone too... Geez, and Im not even getting checked by doctor.. Anyway, becaise of this whenever I felt slightly bad or tired I would wonder if it was from the drugs and then have panic attacks.. but I know now that it was mostly my own mind and fear.

For know I'm going to take a break from AAs until September. caise Im going to visit my home country america during August and I dont feel like going through security carrying a bunch of pills, so I usually just bring estradiol and minoxidil while on vacation.. and Im never going to take such a heavy combo again.

With that said, I was always afraid of bica because it increases testosterone, and even though it does a fantastic job at blocking receptors there will some amount of competition. There might be occasions, which are so rare that its undetectable like maybe every once in a million times, Dht or T could win a receptor. So i can't let that happen.... Also the idea of some body odor returning as well as male libido from the testosterone metabolites (which act not from androgen receptors) ,turned me off from it. but I know one thing for sure, that cypro and spironolactone are very weak partial agonists of the AR.. they are much weaker than testosterone and therefore function as anti-androgebs.. but perhaps if they are taken for several years their initial benefit could wear off if receptors become more sensitive to androgens from prolonged lack of androgen exposure.. such as what sometines happen to prostate cancer victoms. Therefore, I believe its time for me to move away from weak partial agonists..

But still Id rather block receptors, because even eunuchs still produce small amount of hormones from the adrenal glands... and I know that DHEA can use 5ar to convert to DhT inside the cell. Therefore, it is possible to have high dht in scalp despite extremely low DHT in blood.

Honestly, Im thinking strategically. I beleieved before that cypro is best because it also has strong antigonadotrophin effect along with high affinity for receptor blocking and it builds up in fat. and because Antydhtor used it with amazing results. and I still think that maybe cypro is best when used alone. because I do not trust bica to Completly block literally 100% of the time 100% of receptors, there is no way to absolutely prove that. better safe than sorry.

However Bica's bad point is its gonodotrophin effect and its relatively weak affinty for receptor binding.. however, its supposed to make up for its weak affinty by its really long half life and building up to very high levels. And also its gonadotrophin effect can be counteracted by taking estradiol with it.. And considering all these pros and cons and angles;
I believe now that the regimen which gives the least amount of androgenic signalling will contain Bica with dutasteride and high estradiol (topical and buccal combo)..

You are thinking of switching to bicalutamide, estradiol and dutasteride? What dose of bicalutamide?
 

LEXUS

Established Member
My Regimen
Reaction score
98
Hello Everyone,

as y'all might've noticed.. I have trouble keeping up with this thread and my messages and school and life..

I know there were several questions asked to me sprinkled throughout the jillion replies.. but Im too lazy

Feel free to ask again. If I ever don't answer, ask again or Pm me. Pms get some priority. and I might get back to you, no guarantee though :p

Right now, Im not taking androgen blockers. I ran out and didn't order more.. well except for Diane 35 twice a week, but thats only 4mg cypro a week. I ran out of dexamethasone too, its difficult to keep up with ordering stuff all the time.

now my current regimen is: .5mg dutasteride, 6mg estrofem, 1.5mg oestrogel. 10mg Oral min every other day, topical min/finasteride on the other every other days.. 1 Diane pill on monday and friday, 100mg oral progesterone first 10 days a month.

honestly, I don't feel any different without AA's so I think my nuts are fried enough that they won't come back as long as I take E everyday and I know that AAs are not healthy and that's starting to bother me. I've been taking HRT for 2 years now with fairly aggressive doses. But I never intended to take them forever. as @Sonolmn98 said before that it is healthier to cut off testicles than take anti androgens forever. Particularly, cypro shouldn't be taken long term, I wouldn't risk taking it more than 2 years. Its rare but taking even a low dose of cypro for usually about 10 years or so will significantly increase risk prolactin producing brain tumors.

I really went hard with my obsession and took alot of drugs at the same time, and it caused me to become paranoid hahaha.. when I was bald I didn't mind taking risk as much but now that i have hair I value life alot more..

I was literally taking cypro and spironolactone at the same time along with dutasteride, high amounts E, and oral plus topical minoxidil along with occasiinal diane and also Dexamethasone and progesterone too... Geez, and Im not even getting checked by doctor.. Anyway, becaise of this whenever I felt slightly bad or tired I would wonder if it was from the drugs and then have panic attacks.. but I know now that it was mostly my own mind and fear.

For know I'm going to take a break from AAs until September. caise Im going to visit my home country america during August and I dont feel like going through security carrying a bunch of pills, so I usually just bring estradiol and minoxidil while on vacation.. and Im never going to take such a heavy combo again.

With that said, I was always afraid of bica because it increases testosterone, and even though it does a fantastic job at blocking receptors there will some amount of competition. There might be occasions, which are so rare that its undetectable like maybe every once in a million times, Dht or T could win a receptor. So i can't let that happen.... Also the idea of some body odor returning as well as male libido from the testosterone metabolites (which act not from androgen receptors) ,turned me off from it. but I know one thing for sure, that cypro and spironolactone are very weak partial agonists of the AR.. they are much weaker than testosterone and therefore function as anti-androgebs.. but perhaps if they are taken for several years their initial benefit could wear off if receptors become more sensitive to androgens from prolonged lack of androgen exposure.. such as what sometines happen to prostate cancer victoms. Therefore, I believe its time for me to move away from weak partial agonists..

But still Id rather block receptors, because even eunuchs still produce small amount of hormones from the adrenal glands... and I know that DHEA can use 5ar to convert to DhT inside the cell. Therefore, it is possible to have high dht in scalp despite extremely low DHT in blood.

Honestly, Im thinking strategically. I beleieved before that cypro is best because it also has strong antigonadotrophin effect along with high affinity for receptor blocking and it builds up in fat. and because Antydhtor used it with amazing results. and I still think that maybe cypro is best when used alone. because I do not trust bica to Completly block literally 100% of the time 100% of receptors, there is no way to absolutely prove that. better safe than sorry.

However Bica's bad point is its gonodotrophin effect and its relatively weak affinty for receptor binding.. however, its supposed to make up for its weak affinty by its really long half life and building up to very high levels. And also its gonadotrophin effect can be counteracted by taking estradiol with it.. And considering all these pros and cons and angles;
I believe now that the regimen which gives the least amount of androgenic signalling will contain Bica with dutasteride and high estradiol (topical and buccal combo)..

Also, Bica's biggest advantage is that it is healthier than cypro and spironolactone. spironolactone is hard on kidneys, makes you lose sodium and retain pottasium and increases cortisol.. and Cypro is heptatotoxic to the liver and highly increases prolactin.

And while Bica isn't good for the liver either; it is much less harsh than cypro.
Yes you are right. Dht in the blood can be zero. and in the scalp it will be very much. That is why many hrt does not work. That is why I always said that Avodart and Finasteride should be taken every 2 hours. or use the topic avodart. the antidor had good results thanks to the lotion of avodart which he poured on his head. and spironolactone turns off both DHEA and all adrenal hormones. agree with you. your words are absolute truth. but many do not want to listen. your mode was the most correct. therefore, such results.
 

LEXUS

Established Member
My Regimen
Reaction score
98
Adrenal-production-of-high-progesterone.png
gormon-molodosti-300x275.jpeg
Без названия.png
gormon-molodosti-300x275.jpeg
Без названия.png
To date, the following progesterone preparations are used in the territory of the Russian Federation and abroad:
• Progesterone, oil solution for injections;
• Micronized progesterone (Utrozhestan, Prometrium, etc.) (intravaginal administration);
• Didrogesterone (Duphaston®) (oral administration);
Synthetic derivatives of progesterone (cyproterone acetate, medroxyprogesterone acetate, oxyprogesterone capronate) (oral administration).

progesterone is a pregnancy hormone. men do not have a uterus. so progesterone does nothing for him. i use crazy hrt scheme. and I have a very small gyno. but I know that if I add progesterone, then I will have a very large breast. Progesterone works as an anti androgen only for people who do not have baldness and for women. I once again laid out the scheme in Russian with a picture of what turns progesterone in the male body.
 
Last edited:

Yar

Senior Member
My Regimen
Reaction score
678
View attachment 122817 View attachment 122818

progesterone is a pregnancy hormone. men do not have a uterus. so progesterone does nothing for him. i use crazy hrt scheme. and I have a very small gyno. but I know that if I add progesterone, then I will have a very large breast. Progesterone works as an anti androgen only for people who do not have baldness and for women. I once again laid out the scheme in Russian with a picture of what turns progesterone in the male body.
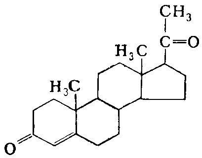
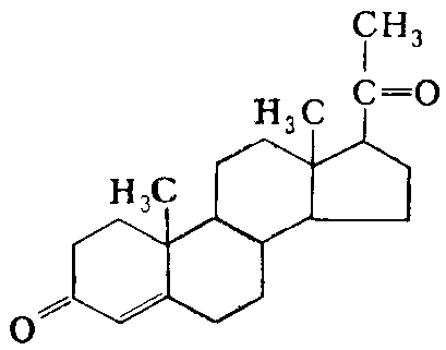
if you use cpa, then this is also one of the derivatives of progesterone.1 progesterone.2 cyproterone acetate.
 

Attachments

  • E6899C65-EB9E-423F-835F-163354ADFEBF.gif
    E6899C65-EB9E-423F-835F-163354ADFEBF.gif
    2.5 KB · Views: 201
  • ADEBAD39-6FDF-4726-BA83-B3738A34814B.jpeg
    ADEBAD39-6FDF-4726-BA83-B3738A34814B.jpeg
    12.6 KB · Views: 185

LEXUS

Established Member
My Regimen
Reaction score
98
Yes. only he is synthetic. and it works differently. and the chest does not grow from it.
 

Stephen788

Established Member
My Regimen
Reaction score
100
Hello Everyone,

as y'all might've noticed.. I have trouble keeping up with this thread and my messages and school and life..

I know there were several questions asked to me sprinkled throughout the jillion replies.. but Im too lazy

Feel free to ask again. If I ever don't answer, ask again or Pm me. Pms get some priority. and I might get back to you, no guarantee though :p

Right now, Im not taking androgen blockers. I ran out and didn't order more.. well except for Diane 35 twice a week, but thats only 4mg cypro a week. I ran out of dexamethasone too, its difficult to keep up with ordering stuff all the time.

now my current regimen is: .5mg dutasteride, 6mg estrofem, 1.5mg oestrogel. 10mg Oral min every other day, topical min/finasteride on the other every other days.. 1 Diane pill on monday and friday, 100mg oral progesterone first 10 days a month.

honestly, I don't feel any different without AA's so I think my nuts are fried enough that they won't come back as long as I take E everyday and I know that AAs are not healthy and that's starting to bother me. I've been taking HRT for 2 years now with fairly aggressive doses. But I never intended to take them forever. as @Sonolmn98 said before that it is healthier to cut off testicles than take anti androgens forever. Particularly, cypro shouldn't be taken long term, I wouldn't risk taking it more than 2 years. Its rare but taking even a low dose of cypro for usually about 10 years or so will significantly increase risk prolactin producing brain tumors.

I really went hard with my obsession and took alot of drugs at the same time, and it caused me to become paranoid hahaha.. when I was bald I didn't mind taking risk as much but now that i have hair I value life alot more..

I was literally taking cypro and spironolactone at the same time along with dutasteride, high amounts E, and oral plus topical minoxidil along with occasiinal diane and also Dexamethasone and progesterone too... Geez, and Im not even getting checked by doctor.. Anyway, becaise of this whenever I felt slightly bad or tired I would wonder if it was from the drugs and then have panic attacks.. but I know now that it was mostly my own mind and fear.

For know I'm going to take a break from AAs until September. caise Im going to visit my home country america during August and I dont feel like going through security carrying a bunch of pills, so I usually just bring estradiol and minoxidil while on vacation.. and Im never going to take such a heavy combo again.

With that said, I was always afraid of bica because it increases testosterone, and even though it does a fantastic job at blocking receptors there will some amount of competition. There might be occasions, which are so rare that its undetectable like maybe every once in a million times, Dht or T could win a receptor. So i can't let that happen.... Also the idea of some body odor returning as well as male libido from the testosterone metabolites (which act not from androgen receptors) ,turned me off from it. but I know one thing for sure, that cypro and spironolactone are very weak partial agonists of the AR.. they are much weaker than testosterone and therefore function as anti-androgebs.. but perhaps if they are taken for several years their initial benefit could wear off if receptors become more sensitive to androgens from prolonged lack of androgen exposure.. such as what sometines happen to prostate cancer victoms. Therefore, I believe its time for me to move away from weak partial agonists..

But still Id rather block receptors, because even eunuchs still produce small amount of hormones from the adrenal glands... and I know that DHEA can use 5ar to convert to DhT inside the cell. Therefore, it is possible to have high dht in scalp despite extremely low DHT in blood.

Honestly, Im thinking strategically. I beleieved before that cypro is best because it also has strong antigonadotrophin effect along with high affinity for receptor blocking and it builds up in fat. and because Antydhtor used it with amazing results. and I still think that maybe cypro is best when used alone. because I do not trust bica to Completly block literally 100% of the time 100% of receptors, there is no way to absolutely prove that. better safe than sorry.

However Bica's bad point is its gonodotrophin effect and its relatively weak affinty for receptor binding.. however, its supposed to make up for its weak affinty by its really long half life and building up to very high levels. And also its gonadotrophin effect can be counteracted by taking estradiol with it.. And considering all these pros and cons and angles;
I believe now that the regimen which gives the least amount of androgenic signalling will contain Bica with dutasteride and high estradiol (topical and buccal combo)..

Also, Bica's biggest advantage is that it is healthier than cypro and spironolactone. spironolactone is hard on kidneys, makes you lose sodium and retain pottasium and increases cortisol.. and Cypro is heptatotoxic to the liver and highly increases prolactin.

And while Bica isn't good for the liver either; it is much less harsh than cypro.

Interesting post mate. I hope you are able to retain your hair for the foreseeable future. I always thought tumors formed by high prolactin where non invasive. And can easily be removed. Or shrunk by taking dopamine supplements.
 

bridgeburn

Senior Member
My Regimen
Reaction score
3,627
I always thought tumors formed by high prolactin where non invasive. And can easily be removed. Or shrunk by taking dopamine supplements.
usually
 

I'mme

Experienced Member
My Regimen
Reaction score
686
With that said, I was always afraid of bica because it increases testosterone, and even though it does a fantastic job at blocking receptors there will some amount of competition. There might be occasions, which are so rare that its undetectable like maybe every once in a million times, Dht or T could win a receptor.

What you say may be true. I've been taking spironolactone for 8 days now and during 1st 7 days I didn't think about sex or even masturbation, but today I had morning Wood and strong libido thereafter. Of course, I got terrible itching and oil/sebum as well. Telling this because it works at receptor level ; what is does to testosterone varies from person to person: in some it tanks T while in some it instead increases T.
 

Ikarus

Banned
My Regimen
Reaction score
2,943
I'm easing off CPA slowly over the next 2-4 weeks since I'm on Bical 50mg now, i still have a ton of CPA lol idk what do do with it, maybe just throw it away? Or hide it somewhere incase of lack of Bicaludamide.

You should keep it in a drawer, just in case... I have a lot of spironolactone in my drawer, which has been building up due to my prescriptions (they have since been cancelled, since I no longer use spironolactone).
 

Ikarus

Banned
My Regimen
Reaction score
2,943
What you say may be true. I've been taking spironolactone for 8 days now and during 1st 7 days I didn't think about sex or even masturbation, but today I had morning Wood and strong libido thereafter. Of course, I got terrible itching and oil/sebum as well. Telling this because it works at receptor level ; what is does to testosterone varies from person to person: in some it tanks T while in some it instead increases T.

Increased sebum production is a bad sign... I visualise sebum production as an indicator of androgenic activity, since it does appear to be an androgen-dependant issue.
 
  • Like
Reactions: Yar

Ikarus

Banned
My Regimen
Reaction score
2,943
I am thinking of getting an orchiectomy in a few years... I was watching some videos of men who accept balding, and it made me fearful. I don't want to ever be bald; an orchiectomy might be my personal cure to hair loss, without needing to constantly burden my body with anti-androgens. It's probably a risky procedure, but I hate androgens! :(:mad:
 
Top